首页
社区论坛
HOT
编程学习
考试考证
影视娱乐
游戏
招聘求职
校园招聘
社会招聘
实习生招聘
兼职招聘
热门板块
NEW
HTML与CSS
JavaScript
软考
Vue框架
王者荣耀
PHP语言
Python
Java
C语言
资源分享
网站源码
VIP
PHP源码
网页代码
HTML源码
发布
发布文章
创建话题
创建版块
发布帖子
开通会员
开通黄金会员
全站资源折扣购买
部分内容免费阅读
一对一技术指导
VIP用户专属QQ群
开通黄金会员
开通钻石会员
全站资源折扣购买
部分内容免费阅读
一对一技术指导
VIP用户专属QQ群
开通钻石会员
登录
注册
首页
社区论坛
HOT
编程学习
考试考证
影视娱乐
游戏
招聘求职
校园招聘
社会招聘
实习生招聘
兼职招聘
热门板块
NEW
HTML与CSS
JavaScript
软考
Vue框架
王者荣耀
PHP语言
Python
Java
C语言
资源分享
网站源码
VIP
PHP源码
网页代码
HTML源码
开通会员 尊享会员权益
登录
注册
找回密码
快速登录
QQ登录
微信登录
关注
综合
版块
热门
精华
问答
投票
最新回复
最高评分
社区论坛系统已上线运营
校园博客社区论坛管理制度
泰同学工作室
2年前更新
350次阅读
关注
私信
精
软件设计师必考题总结【上午题】
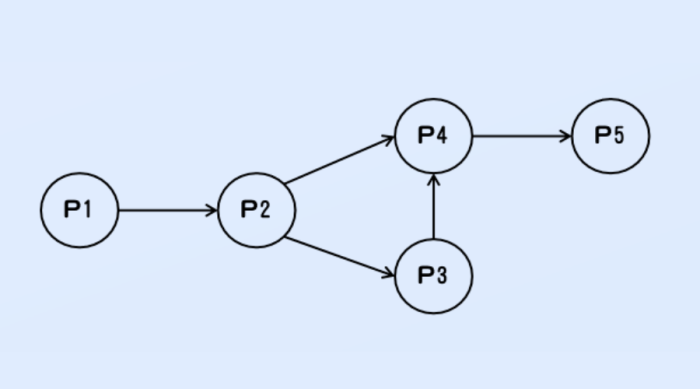
软件项目活动图题目分值:大约2分考题内容某软件项日的活动图如下图所示,其中顶点表示项日里程碑,连接顶点的边表示包含的活动...
+2
软考
4
回复
分享
搜索
搜索
近期文章
优优兔影视-免费看剧,超清画质无广告
优优兔影视APP小红书推广
在线看剧网站和APP
【线上推广专员】职位描述
诗涵的联系方式
近期评论
用户排行
签到领取今日奖励
TOP1
泰同学工作室
74
TOP2
校园博客
25
TOP3
小辣椒
8
TOP4
诗涵
2
TOP5
张芷涵
2
TOP6
李雅茹
1
运营团队
泰同学工作室拥有让用户体验超低的价格,高品质的流量服务,坚决让运营商让利惠民,我们将以实力赢得大家的青睐!
查看详情
发布文章
创建话题
创建版块
发布帖子
在手机上浏览此页面
登录
没有账号?立即注册
手机号或邮箱
验证码
发送验证码
记住登录
账号密码登录
登录
用户名/手机号/邮箱
登录密码
记住登录
找回密码
|
免密登录
登录
社交账号登录
QQ登录
微信登录
使用社交账号登录即表示同意
用户协议
、
隐私声明
注册
已有账号,立即登录
设置用户名
手机号或邮箱
验证码
发送验证码
设置密码
邀请码(选填)
注册
已阅读并同意
用户协议
、
隐私声明
扫码登录
使用
其它方式登录
或
注册
扫码登录
扫码登录即表示同意
用户协议
、
隐私声明